
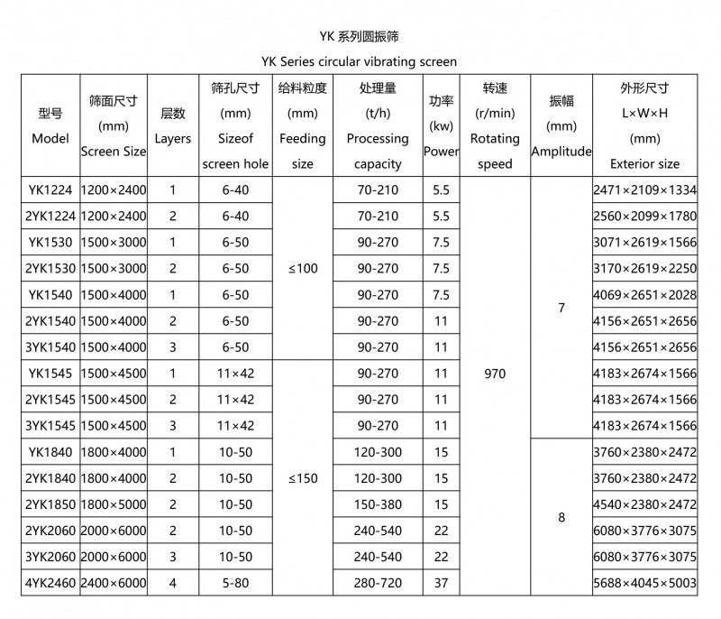
1. YK系列圆振筛
圆振筛
圆振筛,是一种单层或多层数、高效新型振动筛。圆振筛广泛应用于矿山、煤炭、冶金、建材、化工等行业的产品分级,主要针对煤碳、碎石、鹅卵石等比重较大型物料的筛分。
工作原理
YK型圆振动筛是单质量弹性系统,电动机经轮胎联轴节使振动器偏心块产生高速旋转。运转的偏心块产生很大的离心力激发筛箱产生一定振幅的圆运动,筛上物料在倾斜的筛面上受到筛箱传给的冲量而做连续的抛掷运动,物料在抛起时被分层,在与筛面相遇的过程中使小于筛孔的颗粒透筛,从而实现分级。
性能特点:
1. 采用轮胎联轴器,柔性连接,运转平稳。
2. 筛子横梁与筛箱采用高强度螺栓联接,结构简单,维修方便快捷。
3. 结构先进、采用块偏心作为激振力,激振力强、电耗低、噪音小。
4. 采用小振幅,高频率,大倾角结构,使该机筛分效率高、处理能力大
5. 构造简单、拆换筛面方便,零部件通用性强,维修方便。
YK系列圆振筛


YK系列圆振筛


2. QSZW高频电磁振网筛
用途
高频电磁振网筛广泛应用于冶金选矿、煤炭洗选、建材、化工、食品等行业。主要应用于选矿厂磨矿分级流程中的分级作业。
工作原理
高频电磁振网筛由筛箱、筛网、激振器、振动系统、支承机构组成。
激振器固定于筛箱上,激振器驱动振动系统直接激振筛面,使筛面处于振动状态,达到筛分的目的。筛面由三层不同的柔性筛网组成;底层为钢丝绳芯聚氨酯托网与激振装置直接接触;托网上面张紧铺设由两层不锈钢丝编织网粘接在一起的复合网,复合网上层与物料接触,上层网根据筛分工艺要求确定网孔尺寸。
特点
1、高频电磁振网筛功耗小。筛机振动系统直接激振筛面作高频振动,且振动系统在近共振状态工作,可以以较小的驱动力达到工作所需的振动参数。而筛箱与其它种类的筛机不同,不参与振动,降低了整机的功耗。
2、由于筛箱不动,整机经减振支承,动载荷极小,无须特制基础,可随意摆放安装。
3、电磁振动系统主要采用优质橡胶件连结,长期运转工作可靠;
4、筛面振动频率高达50Hz,振幅1~2毫米,振动强度达8~10倍重力加速度,是一般振动筛振动强度的2~3倍。
5、筛面自清理能力强,筛分效率高,处理能力大。非常适用于细粒粉体物料的筛分、脱水。
6、复合网上层与物料接触,上层网根据筛分工艺要求确定网孔尺寸,筛网开孔率高,使用寿命长。
7、筛网两端装有挂钩,便于张紧安装。
8、入料缓冲筛板保证平缓均匀布料,减小物料对工作网(复合网)的冲击,延长使用寿命。
9、入料粒度大,上限为15mm,分级粒度0.043~3mm。
10、筛机安装角度随时可方便调节,以适应不同的物料性质及不同筛分作业。


3. QSGS高频振动细筛
高频振动细筛
高频振动细筛简称高频筛,广泛应用于黑色矿山、有色矿山、煤矿、化工、建材等行业。适合于细粒煤的分级脱水、煤泥回收、选矿厂分级等作业,如磁铁矿矿山二段磨矿前及二段磨矿产品的预先分级和检查分级,和二段磨矿作业构成闭路。
工作原理
高频筛由激振器、矿浆分配器、筛箱、机架、弹簧和筛网等部件组成。高频筛通过激振器带动筛箱产生振动,筛箱内的筛网随之产生振动,对矿浆分配器输入的矿浆进行分离,其中颗粒小的物料和水透过筛网成为筛下产物,颗粒较大的随筛网排出筛箱。
高频筛采用了高频率,一方面,破坏了矿浆表面的张力,另一方面,细粒物料在筛面上的高速振荡,加速了大密度(比重)有用矿物析离作用,增加了小于分离粒度物料与筛孔接触的概率。从而造成了较好的分离条件,使小于分离粒度的物料,特别是比重大的物粒和矿浆一起透过筛孔成为筛下产物。
特点
1采用可调控振动激振器,振幅大小可调,频率高。
2选用聚胺酯耐磨筛网,使用寿命长。
3设计先进,设备运转平稳可靠,维修更换方便,重量轻。
4筛分效率高,处理量大。










手机企腾网工厂优选|



